5.3中國幕墻公司為了面對國外日趨激烈的競爭,提升國際工程承包企業本地化運營的能力,宜與國外公司合作,獲得更多的市場準入機會。借鑒我國其它行業通過跨國并購和股權置換等方式加大了“走出去”的 步伐的經驗,進入發達國家市場。
5.4中國幕墻公司要認清形勢,集中力量,積極開拓國際高端市場。隨著國際工程承包業的利潤重心向產業鏈前端和后端轉移,國際工程建設和項目運營相互合一的項目大幅增長,在繼續關注東南亞、中東、拉美、非洲市場的同時,加快進入歐美市場的步伐,積極開拓國際高端市場。
5.5重視屬地化經營,規避法律障礙。一般國家都對本國承包商提供各種方便與支持,而對國外承包商設置一些障礙,這就要求中國幕墻公司要經營屬地化,充分利用當地人力資源,和政策法律環境,降低企業運營成本。
5.6規避風險。
海外承包風險概括為四類:政治風險、經濟風險、商業信用風險和其他風險。在規避和控制風險方面,除了國家從政治層面幫助企業減少風險外,企業也應著力建設自己的風險控制體系。
國外的大型幕墻公司通常都有強大的信息搜集和分析預測系統,他們的戰略研究部門通過深入研究全球經濟、區域發展、行業動向,為企業拓展市場提供有價值信息,但很多中國幕墻公司企業目前仍沒有樹立風險控制意識,也不愿在這方面投入資金,拓展海外市場時可能要虧。中國幕墻公司要十分重視對海外信息的全面科學評估,在項目評估中強化風險意識,考慮控制風險的資源和能力。規避風險原則是:如果不能避開其政治、技術等風險,無論項目利潤多大,都要審慎定奪。“寧可不干,也不盲動”。 合同中對資金到位、工期安排等細節問題,都有明確規定,這種做法不僅保護了自己,也讓對方減少了顧慮。
5.7以合理低價向技術密集型幕墻工程滲透。
歐美等國家的大型跨國建筑幕墻公司都有自己的技術和專利,在國際工程承包市場上的資金實力、技術和管理水平高于中國的企業,在技術和資本密集大型幕墻項目上形成壟斷。中國建筑幕墻公司因為在勞動力成本上具有比較優勢,在國際工程市場中承建的工程項目多是相對簡單的勞動密集型項目。今年已開始有所改變,中國幕墻公司己向技術密集型項目和知識密集大型項目滲透已是時機。今年遠大、晶藝、三鑫
中標的海外幕墻工程就是良好的開端。
隨著發展中國家承包商不斷進入國際市場,工程承包市場的競爭日趨激烈。發達國家承包商及其組織,甚至雙邊和多邊開發銀行系統都認為最低價中標的競爭,難以產生預期的效果,正在呼吁建立一個透明、高效的
投標程序,這個程序要更加重視
資格預審,確保只有那些證明自己有能力完成項目的承包商才能通過資格預審。例如中國建筑工程總公司(下稱中建)承建高達340米的歐洲最高建筑——
俄羅斯聯邦大廈A座主體工程。中建的報價在三家企業中并不是最低的,另外一家對手甚至表示愿意墊資建設,但中建憑借以往的業績以及投標、洽談合約過程中表現出來的誠意,贏得了俄方認可,贏得了這項工程。
(六)中國幕墻公司走出去要熟悉國外
幕墻技術標準。
我國在技術和法律方面仍未與國際市場完全接軌。國內的幕墻
設計標準,尚未與國際市場接軌。發達國家和跨國公司想方設法地控制國際標準化的制定,力求將自己的專利變為國際標準,幕墻設計標準將成為市場準入的新的技術壁壘。中國幕墻公司走出去要熟悉國外幕墻技術標準。
國外幕墻設計技術提要:
6.1國外
玻璃幕墻設計方法可總結歸類為如下四種
6.1.1圖表設計法:
圖表設計法是指根據
風壓(或體型系數。風速)及玻璃面積t直接由設計圖表查出某一類玻璃厚度的設計方法,而這些設計圖表是根據實踐經驗和玻璃在風壓作用下的破壞實驗綜合制定的。美國和英國幾家著名的玻璃公司。如LOF公司叫·PPG公司“ 和Pukington公司等都各自提出了本公司的玻璃設計圖表。美國建筑法規.澳太利亞建筑法規和加拿大建筑規范也都采用了簡單方便的圖表設計法。
6.1.2 量大
應力理論設計法:
以
薄板的大
變形理論應力分析(在均布的,靜壓力作用下)為依據。假定玻璃表面任何一處達到極限
拉應力時即達壞,依據這一理論的設計方法稱為最大應力理論設計法.PPG公司利用
有限元的分析結果 ,于1979年推出了以最大應力理論為基礎的玻璃設計圖表 ,其結果與上述以往的圖表有較大的不同。
6.1.3
斷裂理論設計法1972年,BrowIlm 根據靜態疲勞和斷裂力學理論,給出了玻璃累積損傷破壞的計算公式,該公式通常稱為Brown積分公式.

式中,C為在加載時程tj內。外載所產生的
強度累積損傷量, tj為破壞時翔的時間值 P(t)為外載所產生的拉應力,n為已由實驗確定為16的常數.
該理論認為只要C值達到與加載方式無關的臨界值時,玻璃就破壞。依據該理論的設計方法彌為斷裂理論設計法。
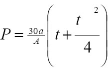
6.1.4 日本不采取玻璃容許應力與風壓之間的關系式。而采用風壓與玻璃安全厚度之間的實用關系式,即:

式中: P為玻璃承受的壓力, a為與玻璃品種有關的系數I,A、t分別為玻璃面積和厚度。按上式規定的玻璃破損率約為1/1000。
6.1.5 玻璃幕墻
均布荷載的國外一些實用設計法:
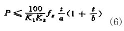
① 實用方法:

式中:P為允許均布荷載、K1 K2超載系數和安全系數, 分別是玻璃的強度、板厚,長邊和短邊邊長。
②實用方法二

式中: P為允許均布荷載,σ.A.t分別是玻璃的材質系數、面積和厚度
③實用方法三

式中;P為允許均布荷載·B、K、A、t分別是玻璃的材質系數,安全系數、面積、厚度。
6.2 中、美幕墻規范構件
承載力驗算公式比較:
通過對中、美幕墻規范構件承載力驗算公式及歸一化的比較,我們初步得出以下結論:
(1)中國幕墻規范采用以概率為基礎的多系數表達式,美國鋁型材規范采用允許應力的構件
截面驗算表達式。中國幕墻規范的
風荷載分項系數為1.4,鋁型材的
抗力分項系數為1.286,其總安全系數為1.8;美國鋁型材規范的總安全系數對于建筑為1.65,而在風荷載或
地震作用下其允許應力可提高113.這樣在風荷載或地震作用下其總安全系數為1.238.顯然,對于幕墻工程的鋁型材構件,中國幕墻規范所取總安全系數要比美國規范大45%左右。
(2)中國幕墻規范的構件承載力驗算沒有考慮區分不同
長細比,即不論構件的長細比為多少均采用材料的
強度設計值,而是用受力構件的壁厚不小于3mm來控制構件的最低設計要求。美國鋁型材規范中構件的
承載能力或允許應力與構件的長細比有關,當構件長細比小于23時,為標準的允許應力;當構件長細比大于23小于94時,其允許應力呈線性遞減;當構件長細比為94時,其允許應力下降為66%;當構件長細比大于94時,其允許應力呈二次曲線下降;當長細比為120時,其允許應力下降為40%。美國鋁型材規范隨構件長細比增大而允許應力下降,這與我國幕墻規范中規定偏心受壓構件隨長細比增大乘以一個小于1.0的系數是相一致的。但美國鋁型材規范中隨長細比增大允許應力的降低不僅僅限于偏壓構件,也適用于受彎等其它構件。
6.3海外幕墻設計計算發展趨勢:
1)設計計算理論從
剛性結構擴展到
柔性結構和半柔性結構。從一階分析擴展到二階分析。
2)設計方法從概率論為基礎的
極限狀態設計方法發展為將強度、穩定相統一的高等分析理論為基礎的構件與結構整體設計的直接設計方法。
3),幕墻的設計從采用類比法(參考已有的設計或經驗數據,選擇有限的幾種方案進行計算,進行分析對比,最后根據設計要求確定一組較好的設計參數。)發展為 最優化設計方法。(根據設計要求建立數學模型,設計編寫優化軟件,在計算機上完成設計計算,最后獲得最佳的設計方案。)
4)從計算機輔助
CAD設計、應用軟件發展為從概念設計、多專業協調配合、三維建模、分析計算、動態模擬與仿真、工程圖的生成到加工產品,以及廠房的布置等等,都集中在一個平臺上實現的CATIA的整合設計、應用軟件。
在中央‘走出去’ 戰略指導下,在海外建筑市場的呼喚下,中國幕墻公司要加強自身‘走出去’能力建設,大膽走出去!承包海外規模大的幕墻工程;承包海外科技含量高的幕墻工程;承包世界知名的幕墻工程!衷心祝愿中國幕墻公司巳經取得的成就!更衷心祝愿中國幕墻公司今后取得更加輝煌成就! 本文供參考,不妥之處,敬請指正。
與【】相關熱點資訊:
【了解更多 “” 相關信息請訪問
幕墻專區 】
上一頁12下一頁