本篇文章內容由[中國幕墻網]編輯部整理發布:
自從99年進入國內市場以來,泰諾風保泰一直努力為客戶和行業做服務。比如提供熱工(詞條“熱工”由行業大百科提供)模擬報告和相關的熱工計算培訓。而且隨著對節能的重視,以及therm軟件的普及,做熱工模擬的越來越多。有時候會產生分歧,比如Therm里插入絕緣板后得出的Uframe(如下圖1所示)是不是JGJ/T 151里規定的框傳熱系數(詞條“傳熱系數”由行業大百科提供)(Uf)?

圖1
一、JGJ/T 151 熱工規程
在JGJ/T 151-2008《建筑門窗玻璃幕墻熱工計算規程》3.3.1中,給出了門窗熱工計算的理論依據:

而框的傳熱計算,在第34頁采用了線傳熱系數法,截圖如下所示:

因為在其它章節均未明確標注Lf2D,qw等是如何得到的,很多人覺得這三個公式是某種意義上的循環。似乎不能解決分歧。在條文說明里,“7.1.1-7.1.3 框的傳熱系數及框與面板接縫的線傳熱系數采用了ISO 10077給出的計算方法”。因此接下來先看國內常用的線傳熱系數法的軟件BISCO,再分析ISO 10077和ISO 15099。
二、 BISCO
目前我們使用的版本是9.0w,下圖2這種框加絕緣板的耦合二維圖形稱為模擬節點。

圖2
進行軟件熱工迭代模擬后會自動得出一個word文件。

上圖中,Q是通過整個模擬節點的熱量,此例是10.17 W/m。計算原理是統計流過室內外邊界的熱量總和,亦即下圖每條連通室內外的熱量流動線的總和(每條代表0.1W/m)。同時可以看到絕緣板上兩個方框內的線密度是不一樣的:左邊方框內曲線彎曲而且較為稀疏,有部分熱量從絕緣板流入框內(箭頭的方向)。這就是耦合效應。如下圖3。

圖3
Up1是絕緣板中心的U值(對于這個例子來說是最右端),Wp1是絕緣板的可視面寬度,Wf是框的可視面寬度。
也就是說BISCO采用了轉換的方式,把耦合效應考慮在內了。而非直接計算框部分的傳熱量。
三、ISO 10077-2 , ISO 15099
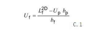
Uf計算時,ISO 10077-2:2012把框及插入的絕緣板作為一個整體二維節點來考慮(2D)。其附錄C有如下公式

Lf2D是流過這個二維截面的熱流量,對于Bisco來說,是Q除以室內外的溫差。其計算方法是統計室內外邊界流過的每一份熱量。詳細的可以參考ISO 10211(關于熱橋的標準),在此L2D定義為二維節點的熱耦合系數(可以回看bisco的熱流密度圖)。通過這種轉換來考慮耦合效應。假如絕緣板部分和框不存在熱量交換(沒有耦合效應),轉換前后的結果是一致的。但這需要精心的設計,目前只有某幾個門窗系列可以做到。更為常見的是轉換前后相差0.1-0.3W/(m2.K)。
ISO 15099:2003第8頁的公式9也是針對Uf的計算。和10077-2大體一致,除了表示方式:比如可視面寬度的用了l,而不是b。Lf2D用了下綴p表示是插入絕緣板得出的。

四、用THERM正確計算Uf的一種方法
為了避免Uframe與Uf的混淆,建議:新建一個的u值標簽,比如all,然后分配給室內所有的表面。這樣得出Uall*ball就是Lf2d值。然后計算絕緣板中心部分的Up值,量取框的可視面高度bf和絕緣板的可視面寬度bp,代入151的公式7.1.2-2即可得出Uf。

其實Up也可以自動計算:描畫絕緣板的時候,多畫1mm寬度的(比如可視面是200mm的,畫201mm)。多出的1mm的U值標簽定義為Panel或者COG等其它名稱,即可自動得出Up


五、總結
通過上述的對比分析,可以看到,因為耦合效應的存在,THERM直接得出的Uframe絕大多數情況下,并非真實的Uf。必須采用輔助的公式來轉換。