上期“白云在線”我們介紹了硅酮結構密封膠修整工序,再次提醒各位注意:結構膠注膠時要保證膠縫的尺寸和粘接質量,膠體中不應有氣泡或者空穴!本期我們將向各位介紹硅酮結構密封膠膠縫尺寸的設計計算!
硅酮結構密封膠膠縫尺寸的一般要求
根據JGJ102-2003《玻璃幕墻工程技術規范》的相關規定,設計計算硅酮結構密封膠的寬/厚度值時,對于其尺寸的設計一般要求如下:
①寬度 :大于等于7mm,小于等于24mm;
②厚度:大于等于6mm, 小于等于12mm
③厚度≤寬度≤ 2倍厚度(單組分)(雙組分不建議超過2.5倍)。
硅酮結構密封膠寬度設計技算
1.1硅酮結構膠的粘接寬度Cs應按照《玻璃幕墻工程技術規范》JGJ102-2003規定:
非抗震設計時,可取第1、3款計算的較大值;抗震設計時,可取第 2、3款計算的較大值。
(1)、在風荷載作用下,粘接寬度CS應按下式計算:

式中 W— 作用在計算單元上的風荷載設計值(Kpa);
a— 矩形玻璃板的短邊和長邊長度(mm)
f1—硅酮結構密封膠在風荷載或地震作用下的強度設計值,取0.2N/mm2。
(2)、在風荷載和水平地震作用下,粘接寬度CS應按下式計算:

式中 W— 作用在計算單元上的風荷載設計值(Kpa);
qE—作用在計算單元上的地震作用設計值(Kpa)
f1—硅酮結構密封膠在風荷載或地震作用下的強度設計值,取0.2N/mm2。
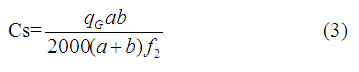
(3)、在玻璃永久荷載作用下,粘接寬度CS應按下式計算:

式中 qG—幕墻玻璃單位面積重力荷載設計值(Kpa);
a、b—分別為矩形玻璃板的短邊和長邊長度(mm);
f2—硅酮結構密封膠在永久荷載或地震作用下的強度設計值,取0.01N/mm2。
硅酮結構密封膠厚度設計技術
2.1硅酮結構膠的粘接厚度tS(如下圖)應符合公式(4)的要求:

ts:硅酮結構密封膠粘結厚度計算值(mm);
δ:硅酮結構密封膠的變位承受能力,取對應于其受拉應力為0.14N/mm2時的伸長率;
us:幕墻玻璃相對于鋁合金附框位移量(mm),由主體結構側移產生的相對位移us1可按公式(5)計算;由溫差變化產生的相對位移us2可按公式(6)計算,取us1、us2中的較大值。
(1)主體結構側移產生的相對位移us1按公式(5)計算:

us1:主體結構側移,玻璃與玻璃附框型材相對位移量(mm);
θ:風荷載標準值作用下主體結構層間位移角限值(rad);
hg:幕墻玻璃面板高度(mm);
(2)溫差作用下的相對位移us2按公式(6)計算:

us2:在年溫差作用下玻璃與玻璃附框型材相對位移量(mm);
b:玻璃板塊最大邊(mm);
Δt:年溫差:80℃
a1:鋁型材線膨脹系數,2.3×10-5;
a2:玻璃線膨脹系數,1×10-5;
硅酮結構膠拉伸曲線

進行硅酮結構膠厚度計算時,硅酮結構膠的變位承受能力δ需硅酮膠生產廠家提供,目前還沒有δ超高20%的硅酮結構膠。
一般,隱框幕墻除采用除硅酮結構密封膠受力之外還應采取附加的安全措施以延長結構膠的使用壽命,保證隱框幕墻的安全。

下期“白云在線”將為大家帶來硅酮結構密封膠的施工常見問題分享。
回答時間:2015-5-25