1 概述
當前,建筑節能在世界上受到人們的極大關注,建筑節能已經成為不可阻擋的世界性大潮流,建筑節能工作已經成為我國可持續發展戰略的重要組成部分。目前全國已形成健全的建筑節能設計和施工質量驗收標準體系。無論居住還公共建筑節能設計標準均對外窗的傳熱系數、遮陽系數、可見透射比等性能提出了具體的要求。而為滿足建筑節能對門窗、幕墻節能設計的要求,近兩年我國先后頒布了《建筑門窗玻璃幕墻熱工計算規程》(JGJ/T 151-2008)(以下簡稱《熱工計算規程》)、《鋁合金門窗》(GB/T 8478-2008)等十余項門窗、幕墻節能設計相關標準,將使我國建筑門窗、幕墻行業的節能設計邁進一個新的階段。
門窗、幕墻熱工性能計算機模擬計算作為評價門窗、幕墻節能性能的主要手段,在歐美等國家已廣泛應用并得到社會的認可。《熱工計算規程》將為我國的門窗、幕墻熱工性能模擬計算奠定理論基礎,但該規程公式繁多且非常復雜,涉及玻璃系統光學熱工計算、框二維傳熱有限元分析計算等,很難人工完成熱工計算過程。目前國內主要使用國外的熱工計算軟件,由于技術體系不一致,且軟件功能有局限性,無法完全滿足《熱工計算規程》的相關要求。為了加快《熱工計算規程》的實施應用,提高建筑門窗幕墻行業的熱工計算水平,作為《熱工計算規程》的主編單位,廣東省建筑科學研究院開發了建筑門窗幕墻熱計算熱工計算系列軟件(以下簡稱“熱工計算系列軟件”),可進行玻璃系統光學熱工性能計算、框二維傳熱有限元分析計算、整窗和整幅幕墻熱工性能計算等等。
目前,廣東省建筑科學研究院針對不同的使用群體,推出了該軟件的免費版本(下載地址:http://www.gdjky.com/Ad/CWWFree/CWWFree.html)和專業版本。熱工計算系列軟件包括三個子軟件:
(1)《建筑玻璃光學熱工性能計算及光譜數據庫管理軟件》(Optics CC);
(2)《幕墻、門窗框二維熱傳導有限元分析軟件》(Therm CN);
(3)《幕墻、門窗熱工性能設計計算軟件》(CWWTC)。
熱工計算系列軟件可為玻璃企業、門窗、幕墻企業、設計院及科研院等提供了一個全面、準確、簡便的計算軟件。
2 熱工計算系列軟件
2.1軟件的設計原理和數學模型
本系列軟件的主要依據《熱工計算規程》進行設計,包括整樘窗熱工性能計算、幕墻熱工計算、玻璃光學熱工性能計算、框的傳熱計算等。
2.1.1整樘窗熱工性能計算
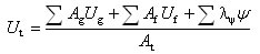
(1)整樘窗的傳熱系數計算:

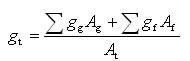
(2)整樘窗的太陽光總透射比計算:

(3)整樘窗的遮陽系數應按下式計算:

(4)整樘窗的可見光透射比應按下式計算:

2.1.2幕墻熱工性能計算
(1)幕墻的傳熱系數UCW

(2)幕墻的太陽光總透射比gCW

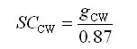
(3)幕墻的遮陽系數SC

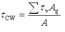
(4)幕墻單元的可見光透射比τCW

2.1.3玻璃氣體間層的熱傳遞
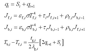
根據《熱工計算規程》,玻璃間氣體間層的能量平衡采用如下基本關系式表達:

式中 Tf,i——第i層玻璃前表面溫度(K);
Tb,i-1——第i-1層玻璃后表面溫度(K);
Jf,i——第i層玻璃前表面輻射熱(W/m2);
Jb,i-1——第i-1層玻璃后表面輻射熱(W/m2)。
在每一層氣體間層中,應按下列公式計算:


上一頁1234下一頁