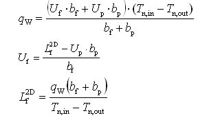
2.1.4框傳熱計算及框線傳系數計算
(1)框傳熱計算
根據《熱工計算規程》要求,在框的計算
截面中,應用一塊
導熱系數 λ=0.03[W/(mK)]的
板材替代實際的玻璃(或其他鑲嵌板),板材的厚度等于所替代
面板的厚度,嵌入框的深度按照
實際尺寸,可見部分的板材寬度bp不應小于200mm。


式中 Uf ——框的傳熱系數[W/(m2K)];
Lf2D ——框截面整體的線傳熱系數[W/(mK)];
Up ——板材的傳熱系數[W/(m2K)];
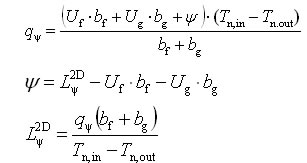
(2)框線傳熱系數計算
根據《熱工計算規程》要求,用實際的玻璃系統(或其他鑲嵌板)替代導熱系數 λ=0.03 W/(mK)的板材,其他尺寸不改變;


式中 ψ——框與玻璃接縫的線傳熱系數[W/(mK)];
Lψ2D——框截面整體線傳熱系數[W/(mK)];
Ug——玻璃的傳熱系數[W/(m2K)];
2.2軟件功能
本系列軟件可進行玻璃系統光學熱工性能計算、框二維傳熱有限元分析計算、整窗和整幅幕墻熱工性能計算等等,由Optics CC、Therm CN、CWWTC獨立或聯合計算完成。
2.2.1 Optics CC
Optics CC是以《中國玻璃數據庫精確格式》、《熱工計算規程》為基本數據格式編制而成,集玻璃光學熱工性能計算和光譜數據庫管理于一體的軟件,本軟件的主要功能為:
(1)兼容國際玻璃數據庫和中國玻璃數據庫格式;
(2)方便、快捷構造及管理玻璃系統;
(3)計算各款玻璃的光學參數和熱工參數;
(4)顯示玻璃系統的基本信息、光譜數據和光譜曲線;
(5)冬、夏季計算條件下各層玻璃表面溫度分布顯示;
(6)玻璃系統氣體庫構造和管理;

圖4 冬、夏季玻璃表面溫度分布

圖5 Optics CC 操作主界面
上一頁1234下一頁