本文摘自:《建筑幕墻創新與發展》未經許可不得轉載
1 工程概況
深圳機場位于珠江口東岸,寶安區福永鎮,廣深高速公路西側,航站口東臨寶安大道,西臨海邊,距離深圳市區直線距離約為32km,建成后的深圳國際機場是地位重要的國內干線機場及區域貨運樞紐機場。深圳機場T3 航站樓占地面積約19.5 萬平方米,總建筑面積45.1萬平方米,南北長約1128m,東西寬約640m,為一飛魚外形。航站樓主樓地下二層地上四層(局部五層),為鋼筋混凝土框架+鋼結構,由主樓和呈十字交叉的指廊組成。

圖1 深圳機場T3航站樓模型圖
T3航站樓大廳屋頂為自由曲面,指廊屋頂大部分為規則筒殼,在筒殼的局部區域存在凹陷區,形成具有自由曲面的筒殼外形。屋頂展開面積約23 萬平方米,其中大廳部分東西長約640m,南北寬約324m,主指廊部分長747m,寬36m,次指廊部分長342m,寬36m。最大跨度為主樓與指廊交接處,為108m。
2 測量工作總體思路
根據甲方提供的起始點,建立首級平面控制網,在首級控制網上進行控制點的二、三級加密。高程采用四等水準布控。
測量的目的:實測鋼結構與幕墻結點的三維坐標,提供給設計。提取結構特征點的三維坐標,利用各級測量控制點用全站儀將三維坐標放到設計位置,以供施工使用,保證測量和施工的精度(詞條“精度”由行業大百科提供)符合規范要求。
為了確保測量精度和工程質量,本工程作業過程中嚴格遵守各項規范要求,包括《工程測量規范》(GB50026-2007)、《精密工程測量規范》(GB/T15314-94)、《國家三、四等水準測量規范》(GB/T17942-2000)、《鋼結構工程施工質量驗收規范》(GB50205-2001)等。
在施工過程中主要的坐標系統包括機場坐標系統(HP)、網架定位坐標系統(XY),其相互轉換關系為坐標H=912m+坐標Y、坐標P=3719.758m+坐標X。需要特別注意的是坐標系統XY為設計坐標系,屬于右手坐標系,而坐標系統HP為測量坐標系,屬于左手坐標系。高程系統采用建筑標高系統(Z),與1985國家高程基準H關系為坐標H=坐標Z +4.900m。
3 建筑施工控制網
施工過程中依據甲方提供的控制點坐標(表1),采用一級GPS進行平面控制網布設(表2),四等水準測量進行高程測量(表3),全站儀導線測量進行控制網加密(表4)。
表1 甲方提供的控制點坐標
|
點名 |
H坐標(m) |
P坐標(m) |
絕對高程 |
備注 |
|
T2 |
877.856 |
4410.941 |
4.904 |
±0為4.9 |
|
T3 |
875.980 |
4716.421 |
|
|
|
D1 |
1262.420 |
4186.287 |
|
|
|
D2 |
1280.518 |
4437.874 |
|
|
表2 GPS測量控制網的主要技術要求
|
測量等級 |
固定誤差a(mm) |
比例誤差系數b(mm/km) |
約束點間的邊長相對中誤差 |
約束平差最弱邊相對中誤差 |
|
一 級 |
≤10 |
≤3 |
≤1/40000 |
≤1/20000 |
GPS作業技術指標:觀測采用三角網方式的靜態定位技術施測,同步作業圖形之間采用點、邊連接的方式,外業測量滿足以下技術要求:
衛星高度角≥15°;
觀測時間長度≥45min;
平均重復設站數≥1.6;
點位幾何圖形精度因子(GDOP)≤6;
有效觀測衛星總數≥4;
加密控制點高程采用四等水準進行高程測量,利用已知水準點T2、T3四等水準測量的起算點,在主指廊和東西指廊處聯測了4個水準點。水準點編號采用與平面控制點同號,分別為I-01、I-02、I-03、I-04。水準測量采用經過鑒定的DSZ2型自動安平水準儀,并按規范要求進行儀器i角檢查;3米木質區格式標尺,并對水準標尺名義米長進行了測定;符合規范要求。
1)、四等水準觀測采用中絲讀數法,直讀視距,觀測順序為“后-后-前-前”。
2)、測站設置及觀測限差滿足“規范”要求,均由水準測量外業記錄程序控制。
3)、主要技術要求詳見表“水準測站設置及觀測限差”。
4)、水準路線采用單次測量。
表3 水準測站設置及觀測限差
|
視線長 |
前后視距差(m) |
前后視距累積差 |
視線高 |
黑、紅面讀數之差 |
黑、紅面兩次高差之差 |
間歇點高差之差 |
|
≤100 |
≤5.0 |
≤10.0 |
三絲能讀數 |
3.0mm |
5.0mm |
5.0mm |

圖2 建筑施工控制網測量
進場迅速開展各種測量任務,一級GPS點及四等水準點的布設及點位選擇合理、標石的質量情況、標石的埋設(詞條“埋設”由行業大百科提供)及外部整飾情況優良;各項專業測量的作業方法、提供的圖件及資料齊全;儀器檢查的項目、方法正確、精度達到規范要求、計量鑒定手續完備、電子手簿的記錄程序正確和輸出格式全部標準化;觀測和計算結果符合限差要求;起算數據正確、各項精度指標均達到要求,成果可以作為施工測量控制點,如圖2所示。
4 鋼結構球心檢測方案
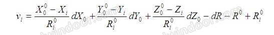
現場測量時,首先利用控制點對全站儀進行定向,完成定向后將儀器測距模式調整為RL模式,將儀器瞄準球面上任意一點,,按下ALL鍵測得一個表面坐標,依次在球面上測量5-8個點坐標。
依據最小二乘法則

組成法方程,其中

擬合求出球節點實際參數(X,Y,Z,R),如圖1所示。

圖3 鋼結構球心測量計算模型
對所有球節點球心坐標進行檢測,每個球節點數據包括點號、設計坐標X、設計坐標Y、設計坐標Z、測量坐標X、測量坐標Y、測量坐標Z、設計與測量X坐標之差dX, 設計與測量Y坐標之差dY, 設計與測量Z坐標之差dZ。坐標差值為測量值減設計值,以Z坐標為例,如果dZ為正,表示球的實際位置高于設計位置。球節點偏差按X、Y、Z三軸分別統計,三軸最大正偏差點和最大負偏差點見表4。
表4 最大最小偏差(mm)
|
坐標軸 |
最大正偏差 |
點號 |
最大負偏差 |
點號 |
|
X |
54 |
EGH-SQ-36 |
-54 |
EMN-SQ-28 |
|
Y |
57 |
EQR-SQ-10 |
-45 |
EMN-SQ-28 |
|
Z |
66 |
EHJ-SQ-41 |
-70 |
ERS-SQ-53 |
編號沿用《網架加工圖加構件清單及定位坐標》編號規則,以球所在軸線和序號表示,設計坐標由CAD(詞條“CAD”由行業大百科提供)模型中自動讀取。
依據《鋼結構工程施工質量驗收規范》(GB50205-2001)第12.3.6條對鋼網架結構安裝的允許偏差規定,以及附錄E.0.6的允許偏差,本機場鋼結構允許最大偏差不得超過30mm。以30mm為依據對偏差點進行統計,統計結果見表5。
表5 偏差大于30mm的點數統計
|
坐標軸 |
點個數 |
比率 |
|
X |
2618 |
18.7% |
|
Y |
1134 |
8.1% |
|
Z |
3388 |
24.2% |
5 全站儀施工放樣
在幕墻施工過程中,全站儀施工放樣工作貫穿始終,涉及的工序包括支座定位、鋼架安裝、鋁框定位、鋼板安裝、內外鋁板安裝等。施工放樣采用三維空間放樣方法,如圖4所示。

圖4 全站儀三維空間放樣
按照三維坐標法的原理,通常是在一個控制點上架設全站儀,設置好各項儀器參數,以固定點為后視方向進行定向,完成測站設置后,依次在待測結構輪廓點處立鏡,全站儀照準相應輪廓點處的反射棱鏡或反射貼片(采用免棱鏡儀器可不必立鏡),儀器立即顯示出各點的三維坐標。
在結構節點放樣前,先在鋼性骨架上焊接固定輪廓點、線的專用角鋼或鐵板,通過測設該點設計三維坐標,再調整立鏡點位置,即可定出待測點線的準確位置并做好施工標志。個別情況下因鋼結構網架、腳手架等桿件影響通視時,可通過棱鏡桿的長度調整,或在局部范圍內進行偏心測量等方法解決各點的通視問題。

圖5 棱鏡輔助施工放樣
6 結束語
深圳機場T3航站樓是全國首次將高精度三維測量技術應用于幕墻安裝施工全過程,首先進行工作面鋼結構檢核,確保深化設計全部理論下單,在施工過程中嚴格控制安裝點位,設計采用了三維可調結點構造,確保了安裝一次完成,無返工并減少了損耗,極大地提高了深化設計和施工效率,有效地縮短了施工工期。建成后照片如圖6.

圖6 建成后照片
本文摘自:《建筑幕墻創新與發展》未經許可不得轉載